Understanding points
Structure 2.2.11—Resonance structures occur when there is more than one possible position for a double bond in a molecule. (AHL)
Structure 2.2.12—Benzene, C6H6, is an important example of a molecule that has resonance. (AHL)
Structure 2.2.13—Some atoms can form molecules in which they have an expanded octet of electrons. (AHL)
Structure 2.2.14—Formal charge values can be calculated for each atom in a species and used to determine which of several possible Lewis formulas is preferred. (AHL)
Structure 2.2.15—Sigma bonds (σ) form by the head-on combination of atomic orbitals where the electron density is concentrated along the bond axis. (AHL)
Structure 2.2.16—Hybridization is the concept of mixing atomic orbitals to form new hybrid
orbitals for bonding. (AHL) |
Resonance structures
•
Occurs when there is more than one position possible for double/triple bonds in a molecule
◦
Requires a network of alternating double/single bonds (at least 1 of each)
◦
Indicated by double headed arrow 
•
Individual structures are called resonance forms
•
Actual electronic structure of species is called resonance hybrid: hybrid of the two resonance forms with delocalized e-s
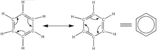
Benzene
•
Structure: cyclic, planar, delocalised 𝛑 electron cloud
•
Evidence to explain structure of benzene:
Bond length | 6 equal length carbon - carbon bonds & length b/w single and double
C-C bonds have order of 1.5 |
∆H hydrogenation | Experimental value is less exothermic than theoretical value of kekule structure
Less energy produced = lower energy state/more stable
*Delocalisation minimises repulsion b/w electrons |
Reaction tendency for substitution & against addition | Substitution preserves the stability of the delocalised 𝛑 system.
Electrophilic addition removes the delocalised 𝛑 system so energetically not favored |
Expanded octets
•
Possible for period 3+ non-metals, e.g. P, S, Cl, Xe
•
˙.˙ extra bonding e- pairs occupy into empty d orbitals
•
˙.˙ d orbitals very similar in energy level to 3p orbitals and extra e-s can easily be promoted
Electron domain | Bonding | Lone pairs | Molecular Geometry | Bond Angle (o) | |
5 | 5 | 0 | Trigonal Bipyramidal | 90
120 | PCl5 |
4 | 1 | See saw | <90, <120, <180< | SF4 | |
3 | 2 | T-shaped | 90 | BrF3 | |
2 | 3 | Linear | 180 | XeF2 | |
6 | 6 | 0 | Octahedral (square bipyramidal) | 90 | SF6, ICl6+ |
5 | 1 | Square
Pyramidal | 90 | BrCl5,SF5- | |
4 | 2 | Square planar | 90 | XeF4, ClF4- |
Formal charge
•
Used to predict the preferred Lewis structure when more than one is possible
•
Formal charge =(no. of valence e- ) - 12(no. of bonding e- ) - (no. of non-bonding e- )
•
Lewis structure with less charges is the more energetically stable/preferred form
•
When more than one structure has the same lowest formal charge, choose the one where the -ve value for formal charge is on the more electronegative atom
Molecular orbitals
•
Atomic orbitals form molecular orbitals in bonding
Two types of covalent bond
𝝈 | 𝛑 | |
Definition | Axial overlap of orbitals | sideways overlap of p orbitals |
Electron distribution | b/w bonding nuclei along bond axis | Above and below bonding nuclei parallel to the bond axis |
No. of 𝝈 and 𝛑 bonds in a single/double/triple bond
𝝈 | 𝛑 | |
Single | 1 | 0 |
Double | 1 | 1 |
Triple | 1 | 2 |
𝝈 bond type
Overlap b/w | Example | Illustration |
s and s | H-H | e.g. H-H |
s and p (px, py, pz, axial) | H-X | e.g. H-Cl |
p and p (head-on) | X2 | e.g. Cl-Cl |
Hybrid orbital and s
sp3-s (C-H in ethane)
sp2-s (C-H in ethene)
sp-s (C-H in ethyne) | C-H (in CH4) | |
Hybrid orbital and p
sp3-p (C-F in fluoroethane)
sp2-p (C-H in fluoroethene)
sp-p (C-H in fluoroethyne) | C-X (in CH3X) | |
Hybrid orbital and hybrid orbital
sp3-sp3 (C-C in ethane)
sp2-sp2 (C=C in ethene)
sp-sp (C≡C in ethyne)
sp3-sp2 (C-C in propene)
sp2-sp (C-C in CH2CHC≡CH)
sp3-sp (C-C in propyne) | C-C (in C2H6) |
*sp3, sp2, sp hybrid orbitals
𝛑 system
•
Minimum 3 consecutive p orbitals needed for e- delocalisation
•
Movement of delocalised e- is illustrated by resonance structure
•
Resonance structure allows increase in stability via distribution of charge over more no. of atoms
Delocalisation: the sharing of pi electrons across more than two atoms
•
Occurs when there are a number of atomic p-orbitals on neighbouring atoms that can overlap in a molecule or ion and several resonance structures can be drawn
•
‘pi cloud’ forms when there is a overlap of all the orbitals above and below the sigma bonds to stabilise the molecule or ion and spread the charge out
•
Rather than single or double bond, the bonds are somewhere in between → very stable structure
Hybridization
•
Combining of atomic orbitals (of different types, i.e. s and p) to form new hybrid orbitals (of an equal type) and between the energies of the starting orbitals
•
“Combining of atomic orbitals to produce new hybrid bonding orbitals”
◦
Atoms that covalently bond so by overlapping their orbitals to share electrons
◦
The problem is that some of the electrons to be shared are in : a) different types of orbitals (s,p,d,f) , b) they often have different shapes
◦
Atoms overcome this problem by putting its bonding electrons into equal bonding orbitals
◦
This bonding orbital is a combination of the types, shapes and energies of the s,p,d,f orbitals involved and hence is called a ‘hybrid orbital’
•
The type of hybridization depends on the number of electron domains around the central atom hence hybridization is linked with shape
Need for 4 equal half bonds - excitation before covalent bonding | (Using CH4 as an example)
C forms 4 single covalent bonds with 4 Hs
4 unpaired e-s from one C interacting with another 4 unpaired e-s from four Hs
Ground state of C atom only have 2 unpaired e-s
To give 4 unpaired e-s, electron can be excited from 2s orbital to the vacant 2p orbital |
Limitations to covalent bonding with s and p orbitals | 3 x C-H bonds originate from 2p orbitals (C) and 1s orbitals (H)
1 x C-H bond originates from 2s orbital (C) and 1s orbitals (H)
Latter seems shorter than the former but C-H bonds within CH4 are all of equal length. |
Equal length is achieved by hybridization | Before the 2s and three 2p orbitals of C bond with four 1s orbitals of H, they are mixed to produce 4 equal hybrid orbitals. |
Hybrid orbitals
Molecule | Mechanism | Bond Angle | |
sp3 | Methane | 109.5 | |
sp2 | Ethene (C=C)
*one p orbital is left out | 120 | |
sp | Ethyne (C≡C)
*two p orbitals are left out
| 180 |
No hybridisation needed for F2 ˙.˙ only 𝝈 one bond required
Hybridization | Example | e- domain | e- domain geometry | Molecular geometry |
sp | CO2 | 2 | linear | linear |
sp2 | C2H4, graphite | 3 | Trigonal planar | Planar triangular |
sp2 | SO2 | 3 | V-shaped | |
sp3 | CH4, diamond | 4 | tetrahedral | tetrahedral |
sp3* | NH3 | 4 | pyramidal | |
sp3* | H2O | 4 | V-shaped |
•
lone pairs occupy hybridized orbitals


-1.webp&blockId=0fc07ef4-782b-4813-a086-0b8deec578ec)







